Home
Exams
Educational Exams
SAT*, ACT, CLEP*, AP*, GED, GMAT, GRE, LSAT, etc...
High School Exams
ACT
ACT 2020
AP Biology
AP Calc AB
AP Chemistry
AP English Language
AP English Lit
AP European History
AP Government
AP Human Geography
AP Psychology
AP US History
AP World History
COOP/HSPT
PSAT/NMSQT
SAT
SAT 2020
SAT US History
SSAT - Middle
High School Equivalency Exams
GED
GED Test 2
HiSET
TASC
High School Exit Exams
CAASPP
CAHSEE
Regents - Algebra I
Regents - English
SOL - VA & US History
SOL - World Geography
SOL - World History I
SOL - World History II
STAAR
College Exams
CLEP Algebra
CLEP American Govt
Clep American Lit
CLEP English
CLEP Humanities
CLEP Macro Economics
CLEP Management
CLEP Marketing
CLEP Math
CLEP Micro Economics
CLEP Psychology
CLEP Sciences
CLEP Social Science
DSST: Intro to Business
TOEFL
TOEFL Exam 2
TOEIC
Graduate Exams
GMAT
GRE General
LSAT
MCAT
State History Exams
OK History
TX History
Subject Exams
Algebra
Calculus
Computer Exams
MCSE, MCSD, Sun Java, Windows 2000, Windows NT, Visual Studio, Office, A+, etc...
Microsoft Exams
Analyzing Requirements
IIS 4.0
MCSA 70-410
MCSA 70-411
MCSA 70-412
MCSA 70-413
MCTS 70-640
MCTS 70-642
Networking Essentials
NT Server 4.0
NT Server Enterprise 4.0
NT Workstation 4.0
Proxy Server 2.0
TCP/IP
VB Desktop
VB Distributed
Visual InterDev
Windows 2000 DSI
Windows 2000 Professional
Windows 2000 Server
Windows 98
Windows XP Pro
Comptia Exams
A+ 220-801 - Core
A+ 220-802 - Software
A+ 220-901 - Core
Linux+ LX0-103
LPIC-1: v4.0
Network+ N10-006
Security+ SY0-401
Sun Exams
Java Programmer
A+ Exams
A+ 220-801 - Core
A+ 220-802 - Software
A+ Operating Systems
Oracle Exams
Oracle 8i
Cisco Exams
640-802: CCNA
642-801: BSCI
642-811: BCMSN
642-831: ITS
Professional Exams
Legal, Medical, Accounting, etc...
Legal Exams
LSAT
Medical Exams
Internal Medicine
MCAT
NAPLEX
NBDE Part I
NBDE Part II
NCLEX
NCLEX Board Review
Surgery
USMLE
Postal Exams
Battery 473
Military (ASVAB) Exams
AFQT
ASVAB
FAA Exams
Private Pilot-Airplane
Private Pilot-Glider Exam
Educator Exams
Praxis
Praxis Social Studies
SLLA
Firefighter Exams
Firefighter
Foreign Language Exams
TOEFL
TOEFL Exam 2
TOEIC
Citizenship Exams
USCIS
Real Estate Exams
Real Estate Agent
Fun Exams
IQ, TV Quiz, Movie Quiz, etc...
TV Exams
Happy Days
L.A. Law
Saved By The Bell
Seinfeld
The Simpsons
The West Wing
Religious Exams
Bible
Movie Exams
Horror Movies
James Bond Trivia
State History Exams
OK History
TX History
Study Store
Tutorials
Forums
Blog
Schools
Login
Register
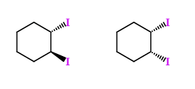
Section: Chemical and Physical Foundations of Biological Systems
30)
The two molecules above can best be described as:
Structural isomers
Diastereomers
Enantiomers
Conformational isomers
Don't have time to finish?
Enter your email address and we'll send you a link to continue your exam.
Save Exam